Andrea Barontini - matricola n. 111100 - Lezione del 15/11/99 - ore 8:30..10:30
Equazione di bilancio dei fluidi: teoria ed esercizi
Moto dei fluidi: equazione di bilancio energetico
Il problema centrale della fluidodinamica è la determinazione del vettore velocità u relativo a un determinato fluido una volta fornite opportune condizioni al contorno. Ciò è possibile, almeno in via teorica, utilizzando l’equazione di Navier (vedi Fig.1).

Fig.1 – l’eq. di Navier nello studio del moto dei fluidi
L’equazione di Navier è estremamente potente: sarebbe utilizzabile anche per calcolare le correnti marine, se fosse possibile formalizzarne le complesse condizioni al contorno (e si noti che il problema nel farlo è puramente pratico, non teorico!).
Tuttavia la risoluzione effettiva di problemi anche semplici, una volta impostato il modello matematico, è estremamente "faticosa" a causa delle difficoltà che si incontrano nel trattare la suddetta equazione, anche ricorrendo a tecniche di calcolo numerico attraverso il calcolatore: i problemi studiati dalla C.F.D. (Computation Fluid Dynamic) sono infatti ritenuti i più difficili della fisica per un doppio ordine di motivi:
Per rendersi conto dell’entità di queste difficoltà basta ricordare che anche i programmi agli elementi finiti, che "trionfano" in altri ambiti della scienza come i calcoli strutturali o i calcoli relativi alla conduzione del calore, falliscono nel momento in cui si trovano a trattare dei fluidi in movimento.
E’ quindi necessario rinunciare a uno strumento estremamente generale e potente quale l’equazione di Navier a favore di un modello semplificato, di più limitata applicabilità ma anche più facilmente utilizzabile.
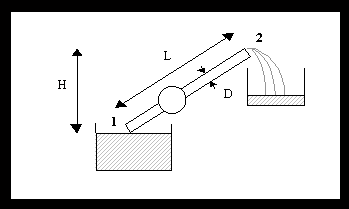
A questo proposito risulta utile definire il concetto di tubo di flusso (vedi Fig.2): si tratta di una sorta di "tubo ideale" interno alla massa di fluido. Si parla di tubo perché, analogamente a quelli reali, deve godere della proprietà di essere attraversato da fluido che entra ed esce solo da zone ben precise della sua superficie, dette sezione d’entrata (1 nel disegno) e sezione d’uscita (2 nel disegno). La rimanente superficie laterale non viene quindi attraversata: ciò significa che su tale superficie il fluido non ha componente di velocità ortogonale alla superficie stessa; nulla si può invece dire in generale sulla componente tangente perché trattandosi non di una conduttura reale, ma di un dominio ideale immerso all’interno del fluido stesso, non causa quel rallentamento che porta a formulare, per i tubi reali, l’ipotesi di aderenza.

Fig.2 – esempio di tubo di flusso
Quello che si fa in pratica è lavorare con 2 ipotesi aggiuntive:
Integrando quindi l’equazione di Navier su un tubo di flusso in condizioni stazionarie si ottiene quella che viene chiamata, a seconda dei casi, equazione di Bernoulli con le perdite, equazione di bilancio dell’energia di sistema aperto in forma meccanica, equazione del moto dei fluidi:
(1)
dove 1 e 2 sono, rispettivamente, le sezioni di entrata e di uscita del tubo di flusso; le w sono le velocità medie del fluido sulle sezioni e le a i coefficienti che tengono conto dei profili di velocità (si noti che spesso vengono omessi perché si considera il tubo di flusso piccolo e quindi le velocità del fluido pressoché costanti su ciascuna sezione di passaggio); g è l’accelerazione di gravità; le z rappresentano le quote delle sezioni (il tubo di flusso può infatti presentare gomiti); v è il volume specifico, p la pressione del fluido; l il lavoro specifico scambiato; T la temperatura assoluta, che viene integrata nella produzione entropica specifica all’interno del tubo di flusso per tenere conto dei fenomeni dissipativi. Ovviamente tutti gli addendi dell’equazione hanno la dimensione di un’energia specifica (J/Kg).
Trattandosi di un bilancio energetico è naturale che assomigli all’equazione precedentemente ricavata attraverso il 1° Principio per un generico sistema aperto:
![]()
Possiamo anzi tranquillamente affermare che le differenze tra la (1) e la (2) sono puramente formali, trattandosi in realtà della stessa equazione (in fondo sono entrambe bilanci energetici, quindi non possono dire cose diverse relativamente allo stesso sistema!).
Vediamo, infatti, come è possibile passare dalla (2) alla (1) e viceversa; ovviamente basterà dimostrare che:
(3)
Noi sappiamo che:
(4)
Il calore che compare nella (4) è un calore di sistema chiuso che, nel caso della nostra massa di fluido, è dato dal calore proveniente dalla superficie laterale del tubo di flusso (quel q che compare nella (2) e nella (3)) e da quello dovuto ai fenomeni dissipativi:
(5)
Sostituendo perciò la (5) nella (4) e la (4) nella (3) è evidente che la (1) e la (2) sono due modi diversi di scrivere lo stesso bilancio. Per comodità si definisce poi:
(6)
Gli effetti dissipativi vengono cioè visti come una sorta di "resistenza idraulica" (scopriremo che le analogie con l’elettrotecnica non si esauriscono qua); quindi la nostra equazione di bilancio diventa:
(7)
L’equazione di bilancio nell’idraulica
Affrontando problemi di idraulica si è soliti lavorare con un’ulteriore ipotesi: l’incomprimibilità del fluido (cioè si considera la sua densità r costante). Quindi la (7), ricordando che la densità è l’inverso del volume specifico, diventa:
(8)
(Si noti che sono stati trascurati i coefficienti dei profili di velocità, come già annunciato prima).
La (8) è l’equazione che effettivamente si usa: consideriamo, per esempio, un fluido incomprimibile che scorre in condizioni stazionarie all’interno di un tubo cilindrico liscio e orizzontale a sezione A costante (vedi Fig.3).

Fig.3 – un semplice problema
Nel nostro caso avremo dunque:
(9)
Per cui la (8) diventa:
(10)
La (10) stabilisce dunque una relazione tra la "resistenza idraulica" R e la perdita di carico; ricordando le formule per calcolare le perdite di carico distribuite e quelle concentrate si avranno:
(11)
(12)
Quindi per un generico circuito idraulico costituito da vari tratti rettilinei e diversi elementi di disturbo al moto del fluido varrà:
(13)
Appena definita, R è stata interpretata come una sorta di "resistenza idraulica"; in effetti le analogie con l’elettrotecnica non finiscono qua:
|
IDRAULICA |
ELETTROTECNICA |
|
Pressione p |
Potenziale V |
|
Perdita di carico D p |
Differenza di potenziale D V |
|
Portata in massa |
Corrente I |
|
Effetti dissipativi R |
Resistenza R |
|
Pompa |
Generatore |
|
Serbatoio |
Condensatore |
|
Inerzia del fluido |
Induttanza |
Tab.1 – analogie tra idraulica ed elettrotecnica
La grossa differenza è che le equazioni dell’elettrotecnica sono piuttosto semplici perché alla base di tutti i fenomeni descritti c’è la legge di Ohm che è una relazione lineare:
(14)
La corrispondente equazione dell’idraulica sarà invece più complessa dato che la perdita di carico dipenderà linearmente dal QUADRATO della velocità del fluido (si vede sfruttando la (10), la (11), la (12)) e quindi dal quadrato della portata in massa (perché proporzionale, dalle nostre relazioni, alla velocità):
(15)
Nella Tab.1 ai generatori abbiamo associato le pompe: e infatti quest’ultime devono fornire l’energia necessaria per muovere il fluido e per bilanciare quella dissipata nel circuito (attraverso perdite di pressione per esempio), analogamente a quanto fanno i corrispettivi componenti dell’elettrotecnica; non a caso quindi le loro caratteristiche sono molto simili (vedi Fig.4).

Fig.4 – caratteristiche di una pompa e di un generatore
L’intersezione del diagramma della pompa con l’asse delle ascisse determina la portata massima, che si ha in assenza di carico e di perdite (il discorso è del tutto analogo a quello che si potrebbe fare per la corrente di cortocircuito): in tale condizione la differenza di pressione prodotta dalla pompa (chiamata prevalenza) è nulla visto che non ha da bilanciare nessuna caduta sul circuito.
La caratteristica vista sopra è facile da ritrovarsi nelle pompe centrifughe; le pompe volumetriche a ingranaggi o a capsulismi hanno invece caratteristiche molto ripide nell’intorno della portata massima e pressoché orizzontali per portate minori: i grafici hanno quindi una "spalla" molto più marcata di quella vista sopra.
La caratteristica è dunque una sorta di carta di identità della pompa: i costruttori (in Italia il maggiore è l’ATURIA) devono sempre fornirla in modo che l’utilizzatore possa valutare se il componente è adatto alle caratteristiche del proprio impianto (vedi Fig.5).

Fig.5 – scelta della pompa
Una volta prevista quella che sarà la portata del nostro circuito ricaviamo le conseguenti perdite di carico attraverso il ramo di parabola blu che rappresenta quella relazione non lineare tra cadute e portata (o velocità del fluido) di cui si parlava prima (vedi la (15)); quindi bisognerà verificare che la pompa, in quel determinato regime di funzionamento, sia in grado di compensare le perdite di carico: è cioè necessario che la sua prevalenza sia sufficientemente elevata; in caso affermativo (come in Fig.5) si è soliti dire che "la pompa copre le perdite".
Nella scelta della pompa bisogna però tenere conto anche del suo rendimento meccanico h:
(16)
Al denominatore avremo dunque la potenza assorbita dal motore, al numeratore la potenza trasmessa al fluido che, ricordando l’equazione di bilancio energetico utilizzata nell’idraulica (vedi la (8)), sarà data da:
(17)
Evidentemente sarà conveniente far lavorare la pompa in un regime ad alto rendimento: questo perché il rendimento è indice della spesa elettrica o comunque di qualsiasi altro consumo energetico volto ad alimentare l’apparato; inoltre un buon rendimento vuol dire che la pompa sta funzionando bene, senza provocare al suo interno turbolenze che causano rumore eccessivo e portano a un degrado prematuro delle palette. E’ quindi estremamente sconveniente far lavorare la pompa "fuori caratteristica".
Un grafico tipo, più complesso del precedente ma raffigurante molti dei concetti appena espressi, può quindi essere quello di Fig.6:

Fig.6 – valutazione dell’idoneità di una pompa
Nel grafico sopra abbiamo tre curve: la nera e la blu sono, rispettivamente, la caratteristica della pompa e la relazione portata cadute del circuito; la rossa rappresenta il rendimento in funzione della portata (0.7 è il massimo rendimento usualmente ottenibile). Siamo quindi in presenza della pompa che fa al caso nostro: la prevalenza bilancia esattamente le perdite di carico e lo fa nella zona di massimo rendimento. Si noti che l’area tratteggiata rappresenta, a meno dell’inverso della densità r , la potenza trasmessa al fluido nelle condizioni di funzionamento previste per il nostro circuito idraulico (si vede dall’equazione (17)).
Esercizi di idraulica
Risolvere esercizi di idraulica significa, una volta chiara la situazione da analizzare, applicare l’equazione di bilancio; ricordiamola nella forma utilizzata dall’idraulica:
(18)
Evidentemente una scelta astuta delle sezioni su cui applichiamo la (18) può semplificare molto le cose, permettendo in genere di eliminare qualche termine. Facciamo un esempio; consideriamo un semplice circuito idraulico costituito solo da una pompa "cortocircuitata":

Fig.7 – un semplice circuito idraulico
Consideriamo tre diversi modi di scegliere le nostre sezioni:

Fig.8 – la scelta delle sezioni
Premettiamo che in tutte e tre le situazioni a causa di ipotesi sulla natura geometrica del circuito (tutto alla medesima quota) scompare il secondo addendo della (18); anche il primo termine non compare in seguito al regime stazionario del fluido. E’ poi evidente (in conformità a quanto evidenziato nella Fig.7) che il fluido scorre in senso orario.
Caso 1 Le sezioni sono state scelte veramente male: è vero che nell’equazione di bilancio non compare il lavoro l perché la pompa non appartiene al tubo di flusso considerato, tuttavia non siamo in grado di quantificare la caduta di pressione e nemmeno gli effetti dissipativi R dovuti unicamente tratto considerato.
Caso 2 La scelta è interessante: come prima non compare il lavoro l ma adesso conosciamo la caduta di pressione perché sarà uguale, visto come sono posizionate le sezioni, alla prevalenza della pompa. Quindi è anche possibile calcolare R che ora corrisponderà alla totalità degli effetti dissipativi del circuito.
Caso 3 Le due sezioni coincidono, ma la seconda viene considerata dopo aver fatto il giro di tutto il circuito: questa volta l ha un peso nel bilancio e, essendo nulla la caduta di pressione (è inevitabile visto che le sezioni coincidono geometricamente), sarà in modulo uguale a R (che come nel caso precedente rappresenta gli effetti dissipativi di tutto il circuito).
Presa coscienza che ci vuole un briciolo di astuzia per semplificarsi la vita, vediamo un paio di esercizi propriamente detti.
Esercizio 1
Consideriamo un impianto che trasferisce olio da un serbatoio dato a uno a quota superiore:

Fig.9 – esercizio 1
I dati del problema:
(19)
Si chiede di calcolare il fattore di attrito x , la caduta di pressione nel condotto, la prevalenza della pompa e la sua potenza, la variazione di temperatura dell’olio.
Usiamo come sezione 1 e 2 rispettivamente l’entrata e l’uscita della conduttura (riferendo ovviamente i termini "entrata" e "uscita" al moto del fluido); così possiamo tranquillamente affermare che:
(20)
e considerare:
(21)
la velocità in entrata è ritenuta nulla perché il livello del serbatoio di origine è presumibilmente pressoché stagnante; le pressioni in entrata e in uscita sono considerate uguali perché la differenza è irrilevante rispetto ai valori che saranno in gioco nel nostro circuito. Comunque quantifichiamole:
(22)
Calcoliamo il fattore di attrito (con A indicheremo la sezione della conduttura).
(23)
(24)
Il moto è dunque laminare: non abbiamo perciò bisogno del diagramma di Moody per determinare x :
(25)
Calcoliamo ora la perdita di pressione dovuta alla viscosità dell’olio:
(26)
E’ quindi evidente che la differenza di pressione tra le sezioni di ingresso e uscita è trascurabile (vedi il valore della (22)); è anche interessante notare che quelle trovate sono effettivamente pressioni piuttosto alte: sarà quindi necessaria una pompa "importante", probabilmente a ingranaggi. Calcoliamo la prevalenza necessaria:
(27)
Quindi:
(28)
La potenza richiesta sarà dunque:
(29)
Una tale potenza (siamo nell’ordine dei 200CV) è spesa soprattutto per compensare il calore dissipato a causa della viscosità dell’olio (e infatti nella (28) il termine dovuto agli effetti viscosi è quello che "pesa" di più).
Vediamo infine la variazione di temperatura dell’olio:
(30)
Il termine relativo al calore non compare perché supponiamo il tubo isolato. Noi sappiamo anche che:
(31)
Da cui:
(32)
Se avessimo avuto acqua al posto dell’olio la variazione di temperatura sarebbe stata molto più modesta: questo è ancora una volta un effetto da ricondursi alla viscosità del fluido considerato (e infatti l’acqua ha viscosità inferiore all’olio) e non ha niente a che vedere con il surriscaldamento del liquido di raffreddamento nei motori automobilistici (dovuto non agli attriti interni del fluido ma al calore proveniente dalle camere di scoppio).
Nelle macchine operatrici che utilizzano circuiti idraulici in cui scorre olio il surriscaldamento di quest’ultimo è perciò un fattore tenuto in grande considerazione: per questo tali mezzi sono forniti di radiatori esclusivamente dedicati al raffreddamento di tale fluido.
Esercizio 2
Dobbiamo progettare un impianto di irrigazione per un campo di 200 ettari:

Fig.10 – esercizio 2
Altri dati del problema:
(33)
Il problema chiede di calcolare il diametro della conduttura e la prevalenza e la potenza della pompa: in pratica dobbiamo scegliere che tubi e che pompa installare.
Questo è un caso in cui bisogna procedere con un diametro di primo tentativo.
Conoscendo la portata richiesta, evidentemente scegliere il diametro significa scegliere la velocità media dell’acqua e viceversa. Oggigiorno le cosiddette "regole del pollice" (regole empiriche prive di fondamento scientifico che in diversi campi della tecnica forniscono valori di riferimento che tengono conto anche del costo del materiale e della manodopera) indicano la "velocità economica" in circa 3m/s: vediamo dunque quale sarà il diametro da scegliere per fare in modo che l’acqua viaggi a questa velocità nel nostro condotto:
(34)
(35)
I diametri nominali UNI per condutture idrauliche più vicini al valore calcolato con la (35) sono 0,244m e 0,232m: scelgo il diametro più piccolo perché oggigiorno la manodopera in proporzione costa più del materiale e dei componenti, quindi mi conviene far porre in opera tubi piccoli e leggeri (e quindi pagare meno gli operai) e comprare poi una pompa più potente che mi garantisca comunque la portata desiderata.
Scelto il diametro calcoliamo dunque quale sarà la nostra velocità media:
(36)
Dalle opportune tabelle scopro che per l’acqua a 15°C valgono:
(37)
Posso quindi calcolare il numero di Reynolds:
(38)
Siamo quindi in moto turbolento. Valutiamo la scabrezza relativa:
(39)
Dal diagramma di Moody ricaviamo quindi un fattore di attrito x =0.024.
Analogamente a quanto fatto nell’esercizio precedente, grazie alla scelta delle sezioni 1 e 2 coincidenti con le estremità della conduttura, possiamo eliminare dall’equazione di bilancio il termine che tiene conto della velocità del fluido in ingresso e il termine in cui compare la differenza di pressione tra le due sezioni. Rimane quindi:
(40)
Per quanto detto a suo tempo avremo:
(41)
dove la sommatoria è estesa a tutti gli elementi di disturbo al moto del fluido concentrati: in totale 4 gomiti a 90°, 2 gomiti dolci, 2 valvole a sfera aperte (di solito utili per la manutenzione della pompa), 1 filtro a maglia larga (all’inizio della conduttura, per evitare di pompare detriti); i rispettivi b sono ricavati dalle opportune tabelle:
(42)
Sostituendo perciò tutti i valori numerici nella (40) avremo:
(43)
Da cui:
(44)
Calcoliamo infine la potenza della pompa:
(45)
Considerando quindi il rendimento h =0.5 si superano tranquillamente i 100KW di potenza richiesta per la pompa.